高级检索

不连续增强钛基复合材料的研究进展

Research progress on discontinuous reinforced titanium matrix composites

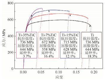
  • 摘要: 不连续增强相能有效改善钛基体的力学性能,提高钛基体的耐磨性、高温强度和抗氧化性,拓宽了钛合金的应用领域。陶瓷增强相具有硬度高、耐磨性好、热稳定、成本低廉等优点,成为不连续增强钛基复合材料的首选增强相,其中使用最为广泛的是TiC颗粒和TiB纤维。纳米碳材料因具有高弹性模量以及高抗拉强度等优异性能,可有效改善复合材料的强度、塑性,被用来制备高比强度的钛基复合材料,近年来成为最具潜力增强体材料。本文从增强体材料的选择出发,归纳总结了近十年不连续增强钛基复合材料的研究进展,综述了不同增强体材料对钛基体组织与力学性能的影响以及强化机理,提出进一步的研究方向,为提高钛基复合材料的整体性能和扩大其应用范围提供一定的依据。

     

    Abstract: The discontinuous reinforcements can effectively improve the mechanical properties, wear resistance, high temperature strength, and oxidation resistance of the titanium matrix, broadening the application fields of titanium materials. Ceramic reinforced phases have become the preferred reinforcements for the discontinuously reinforced titanium matrix composites because of the high hardness, good wear resistance, thermal stability, and low cost, and the TiC particles and TiB fibers are the most widely used. In addition, the nano-carbon materials have also become the most potential reinforcement materials of titanium matrix composites in recent years, due to the excellent properties such as high elastic modulus and high tensile strength, the nano-carbon materials can effectively improve the strength and plasticity of the titanium matrix. In this paper, based on the selection of reinforcements, the research progress of the discontinuously reinforced titanium matrix composites were summarized in the last decade, the effects of different reinforced materials on the microstructure and mechanical properties of titanium matrix and the strengthening mechanism were summarized, and the further research direction was put forward, which provided a certain basis for improving the overall properties of titanium matrix composites and expanding their application.

     

/

返回文章
返回