高级检索

轧制方向对粉末轧制多孔钛板力学性能的影响

Effect of rolling direction on mechanical properties of powder-rolled porous titanium plates

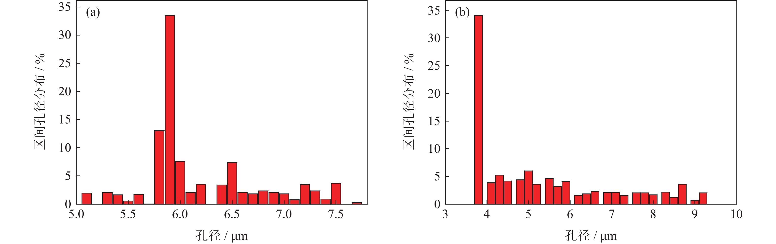
  • 摘要: 以氢化脱氢钛粉为原料,采用粉末轧制和真空烧结工艺制备出两种不同厚度的多孔钛板。利用孔径及孔径分布分析、扫描电镜观察、拉伸实验、三点弯曲实验、剪切强度测试等手段,对垂直于轧制方向和平行于轧制方向的板材力学性能进行了研究,并从孔径分布和烧结颈发育方面对其进行了解释。结果表明,1.96 mm厚的多孔钛板比1.32 mm厚多孔钛板的最大孔径小,且其孔径分布相对均匀;对于厚度相同的粉末轧制多孔钛板,垂直于轧制方向的板材平均抗拉强度比平行于轧制方向的增大25%、弯曲强度增大45%;随着轧制多孔钛板厚度的增加,其抗拉强度、弯曲强度、剪切强度等均显著增大,粉末轧制多孔钛板力学性能的方向差异与轧制致密板材的方向差异完全相反。

     

    Abstract: Two types of porous titanium plates with the various thicknesses were prepared by powder rolling followed by vacuum sintering in this study, using the hydrogenated dehydrogenated titanium powders as the raw materials. The mechanical properties of the porous titanium plates either perpendicular or paralleled to the rolling direction were studied by the analysis of pore size and pore size distribution, scanning electron microscopy, tension test, three-point bending test, and shearing strengh test, which were also explained from the aspects of pore size distribution and sintering necking development. The results show that, the maximum pore size of the 1.96 mm-thick porous titanium plate is smaller than that of the 1.32 mm-thick plate, while the pore size distributions are relatively uniform. For the powder-rolled porous titanium plates in the same thickness, the average tensile strength and bending strength of the porous titanium plate perpendicular to the rolling direction are 25% and 45% higher than that paralleled to the rolling direction, respectively. With the thickness increasing, the tensile strength, bending strength, and shear strength all rise significantly. It is found that the effect of rolling direction on the mechanical properties of the powder-rolled porous titanium plates exhibits contrary to that of the densified titanium plates.

     

/

返回文章
返回